skip to main
|
skip to sidebar
Skywalker
who walks on the ground.....
Monday, June 14, 2010
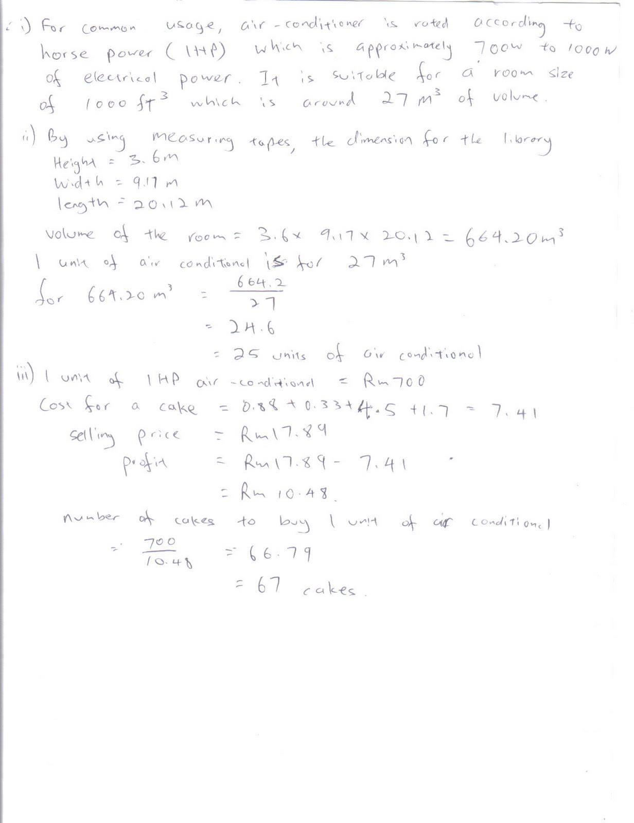
Calculation for Tugasan 2, Part 4 and 5
For discussion, i might put later
Thursday, June 10, 2010
Tugasan 1
Wednesday, June 9, 2010
Add Math Project 2010 : Tugasan 4 (Sample)
This is just a sample, please don't copy 100 %
The rest please do yourself, i did 80% of the work already, please complete another 20% yourself
Thursday, June 3, 2010
Add Math Project 2010 : Tugasan 4
Sorry to my fellow student, this Tugasan can't help, you need to record real item price into a table
Sorry
Tuesday, June 1, 2010
Add Math Project 2010 : Tugasan 3
Part 2
c) Can't do, due to the data problem at table 2, please double check with your teacher
d) Can't do, because it base on (c)
e) Can't do, because it base on (d)
Further Exploration and Reflection
You have to solve yourself
All the best
Add Math Project 2010 : Tugasan 2
Part 4
Sorry can't help, you need to toss 2 dice for 50 times to get the result
Part 5
It depends on Part 3 result
Further Exploration and Reflection
You have to solve yourself
All the best
Newer Posts
Older Posts
Home
Subscribe to:
Comments (Atom)
Blog Archive
►
2020
(1)
►
March
(1)
►
2019
(2)
►
May
(2)
►
2018
(5)
►
November
(2)
►
October
(1)
►
July
(1)
►
February
(1)
►
2017
(9)
►
November
(5)
►
October
(4)
►
2015
(1)
►
November
(1)
►
2014
(2)
►
November
(2)
►
2013
(2)
►
November
(1)
►
May
(1)
►
2012
(9)
►
November
(1)
►
September
(2)
►
June
(1)
►
May
(1)
►
April
(1)
►
March
(3)
►
2011
(12)
►
November
(6)
►
October
(2)
►
September
(3)
►
June
(1)
▼
2010
(20)
►
November
(2)
▼
June
(6)
Calculation for Tugasan 2, Part 4 and 5
Tugasan 1
Add Math Project 2010 : Tugasan 4 (Sample)
Add Math Project 2010 : Tugasan 4
Add Math Project 2010 : Tugasan 3
Add Math Project 2010 : Tugasan 2
►
May
(6)
►
April
(5)
►
March
(1)
►
2009
(4)
►
December
(3)
►
March
(1)
►
2008
(1)
►
June
(1)
About Me
Loke 地行者
A simple man with a simple mind
View my complete profile